
ASPIRATIF.ID — Bupati Aceh Selatan H.Mirwan MS akan menyerahkan Surat Keputusan (SK) Pegawai Pemerintah dengan Perjanjian Kerja (PPPK) Paruh Waktu pasa Jum’at 13 Maret 2026.
Hal tersebut disampaikan Plt Kepala Badan Kepegawaian dan Pengembangan Sumber Daya Manusia (BKPSDM) Arita Taib,SE,MM Kamis (12/3/2026).
“Penyerahan SK tersebut akan digelar dilapangan naga Kecamatan Tapaktuan pada hari Jum’at 13 Maret 2026 ini pukul 08.30 Wib pagi, bagi para peserta wajib memakai pakaian batik kopri saat acara berlangsung,” katanya.
Lebih lanjut Arita Taib menjelaskan saat ini, BKPSDM Aceh Selatan sedang menyiapkan seluruh kebutuhan teknis agar kegiatan berjalan lancar, aman dan tertib. Begitupun, penyerahan SK PPPK paruh waktu tersebut akan dihadiri langsung oleh Bupati Aceh Selatan.
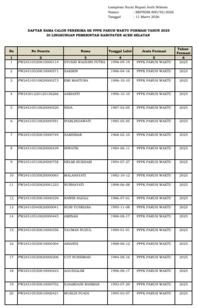
Lebih detail, Arita menyebutkan,PPPK Paruh Waktu yang akan menerima SK berasal dari berbagai formasi dan sebelumnya telah melalui tahapan seleksi administrasi yang dilaksanakan pemerintah daerah.
“Turut kita beritahukan kepada seluruh peserta untuk hadir tepat waktu dan mengenakan seragam batik Korpri dipadukan dengan celana atau rok hitam serta sepatu hitam. Peserta perempuan juga diminta menggunakan jilbab hitam,” ujarnya.
Arita menambahkan, percepatan proses penyerahan SK ini merupakan bagian dari upaya pemerintah daerah meningkatkan pelayanan kepada tenaga non-ASN yang telah mengikuti proses seleksi.
“Penyerahan SK PPPK Paruh Waktu Insyaallah akan diserahkan langsung oleh Bupati Aceh Selatan, H Mirwan. Pihak BKPSDM terus berupaya melakukan percepatan sebagai bentuk pelayanan kepada para tenaga PPPK,”tutupnya.[]
Tidak ada komentar